2025 Vol. 6, No. 4

Editorial
News & Views
New approaches to chromatic aberration and waveguide optimization for full-color augmented reality systems
Ruihuang Zhao, Junjie Du
Published. 2025, 6(4) : 591-593 doi: 10.37188/lam.2025.066
A novel approach is presented for correcting chromatic aberration in full-color AR using an inverse-designed metasurface, enabling improved color accuracy and uniformity in diffractive waveguide combiners, with potential for more compact and efficient AR glasses.
Light-controlled biological microrobots precisely eliminate bio-threats
Bojian Shi, Yongyin Cao, Weiqiang Ding
Published. 2025, 6(4) : 594-596 doi: 10.37188/lam.2025.069
Light-controlled biological microrobots employ near-infrared-activated macrophages to achieve precise navigation and targeted elimination of biological threats, such as micro/nanoplastics, yeast cells, S. aureus bacteria, and cellular debris, without the need for genetic modification. These biological microrobots enhance approaches to immunotherapy, infection control, and environmental remediation, all while overcoming conventional biocompatibility constraints.
Femtosecond laser processing boosts solar thermoelectric generator
Tianyu Zhao, Cong Shen, Hujiabudula Maimaitizi, Guanying Chen
Published. 2025, 6(4) : 597-599 doi: 10.37188/lam.2025.070
Femtosecond laser processing enables the fabrication of high-absorption, low-emissivity solar absorbers and highly efficient microstructured heat sinks for heat dissipation in solar thermoelectric generators (STEGs), leading to a 15-fold increase in output power.
Multifocal metalenses drive super-resolution imaging of brain organoids
Wei Ren, Qianxi Liang, Peng Xi
Published. 2025, 6(4) : 600-602 doi: 10.37188/lam.2025.071
The generation of dense and uniform multifocal illumination patterns is essential for achieving rapid and artifact-free image scanning microscopy. Jo et al. introduced an innovative metalens design approach that facilitates the creation of low-pitch, uniform, and high-NA multifocal patterns, experimentally confirming its efficacy on biological samples.
High-resolution, nondestructive patterning of quantum dots via rigid crosslinker-enabled direct photolithography
Haotao Li, Shuming Chen
Published. 2025, 6(4) : 603-606 doi: 10.37188/lam.2025.081
A direct photolithography approach using rigid crosslinkers was developed for the precise patterning of quantum dot (QD) layers, producing high-resolution RGB arrays with pixel sizes down to 1 μm. This strategy suppresses QD degradation typically associated with conventional high-UV photolithography while enhancing electron confinement within the QDs, thereby preserving their luminescent properties. As a result, high-performance patterned red QLEDs were successfully fabricated.
Carbon nanotube photo-thermoelectric imagers enhance the non-destructive quality monitoring
Yupeng Liu, Yiming Hao, Songnan Qu
Published. 2025, 6(4) : 607-609 doi: 10.37188/lam.2025.082
A non-destructive in-line dynamic detection system based on carbon nanotube thin film photo-thermoelectric imager has been developed. Utilizing ultra-broadband sub-terahertz-infrared multi-band light monitoring, it achieves efficient, contactless dynamic visual detection of ingredients and foreign matter in tablets.
Innovative 2D heterostructure nanocavity for robust single-soliton mode-locking
Haiyi Liu, Hai Liu, Fang Wang, Pengfei Qi, Lie Lin, et al.
Published. 2025, 6(4) : 610-612 doi: 10.37188/lam.2025.083
A robust saturable absorber that integrates MoS2-BN-graphene-BN-MoS2 nanocavity on fibre is proposed and demonstrated. The proposed absorber lowers saturation intensity to 22 MW cm−2, raises polarisation tolerance to 85%, and stabilises single-soliton mode-locking in all-fibre lasers. This work provides a practical and high-performance solution for achieving stable mode-locking in all-fibre lasers, effectively overcoming the inherent limitations of conventional 2D saturable absorbers.
Beyond conventional VCSELs: Emerging directions with colloidal quantum dots and geometry engineering
Minjun Kim, Jeonghun Kwak
Published. 2025, 6(4) : 613-615 doi: 10.37188/lam.2025.084
Recent advances have highlighted new directions for vertical-cavity surface-emitting lasers (VCSELs). Engineering the device architecture enabled electrically pumped surface-emitting amplified spontaneous emission from colloidal quantum dots, while non-circular cavity geometries enhanced power scaling, coherence control, and polarization stability. These breakthroughs broaden VCSEL research, pointing to customizable, application-specific devices.
Geometric-phase versus gradient-index: a showdown for ultimate liquid crystal lenses
Chao Ping Chen, Miao Xu
Published. 2025, 6(4) : 616-618 doi: 10.37188/lam.2025.085
Liquid crystal lenses can be achieved with either geometric phase or gradient refractive index. Which solution will ultimately prevail is open to debate. This article aims to provide a theoretical background, review the latest seminal research findings, and shed light on their pros and cons from multiple perspectives.
Article
Femtosecond laser fabrication of black quartz for infrared photodetection applications
Raffaele De Palo, Annalisa Volpe, Pietro Patimisco, Andrea Zifarelli, Angelo Sampaolo, et al.
Published. 2025, 6(4) : 619-629 doi: 10.37188/lam.2025.026
Quartz tuning forks have been recently employed as infrared photodetectors in tunable laser diode spectroscopy because of their high responsivities and fast response time. As for all sensitive elements employed for photodetection, the main drawback is the limited bandwidth of their absorption spectrum. For quartz crystals, the high absorptance for wavelengths above 5 µm guarantees excellent performance in the mid-infrared range, that cannot be easily extended in the visible/near-infrared range because of its transparency from 0.2 to 5 µm. In this work, we report on the development of a laser surface functionalization process to enhance the optical absorption of quartz crystals, named hereafter Black Quartz, in the 1-5 µm spectral range. Black Quartz consists of surface modification of quartz crystal by ultra-fast-pulsed-laser-processing to create localized matrices-like patterns of craters on top. The surface modification decreases the transmittance of quartz in the 1-5 µm range from > 95% down to < 10%, while the transmittance above 5 µm remains unchanged. The Black Quartz process was applied on two quartz-tuning-forks mounted in a tunable laser diode spectroscopy sensor for detecting two water vapor absorption features, one in the near infrared and the other one in the mid-infrared. A comparable responsivity was estimated in detecting both absorption features, confirming the extension of the operation in the near-infrared range. This works represents an important and promising step towards the realization of quartz-based photodetector with high and flat responsivity in the whole infrared spectral range.
Photonic control of thermal radiation for protective windows
Yunbin Ying, Jianbo Yu, Weidong Shen, Pintu Ghosh, Min Qiu, et al.
Published. 2025, 6(4) : 630-639 doi: 10.37188/lam.2025.034
Thermal protection and comfort are essential for instruments and humans, especially in high-temperature scenarios such as fires and steelworks. Existing thermal protective windows absorb external radiation and heat when exposed to thermal sources, thereby failing to provide thermal comfort to users. Herein, we present a nanophotonic-engineered thermal protective window (NETPW) strategy that incorporates a visible-light transparent broadband directional thermal emitter and a low-emissivity coating into commercial polycarbonate (PC) windows. In comparison to a PC window exposed to a 700 K thermal source at a half-view angle of 50°, the proposed NETPW exhibits remarkable temperature reduction (~77.7 ℃) by reflecting external radiation and enhancing directional radiative cooling. Simultaneously, the NETPW effectively inhibits heat emissions toward users, resulting in a significant improvement in thermal comfort, with a user’s sensible temperature reduction of 57 ℃. Moreover, the NETPW exhibits high visible transparency, high-temperature resistance, scratch resistance, and impact resistance. The seamless integration with existing windows provides a novel approach for controlling thermal emission and optimizing energy exchange.
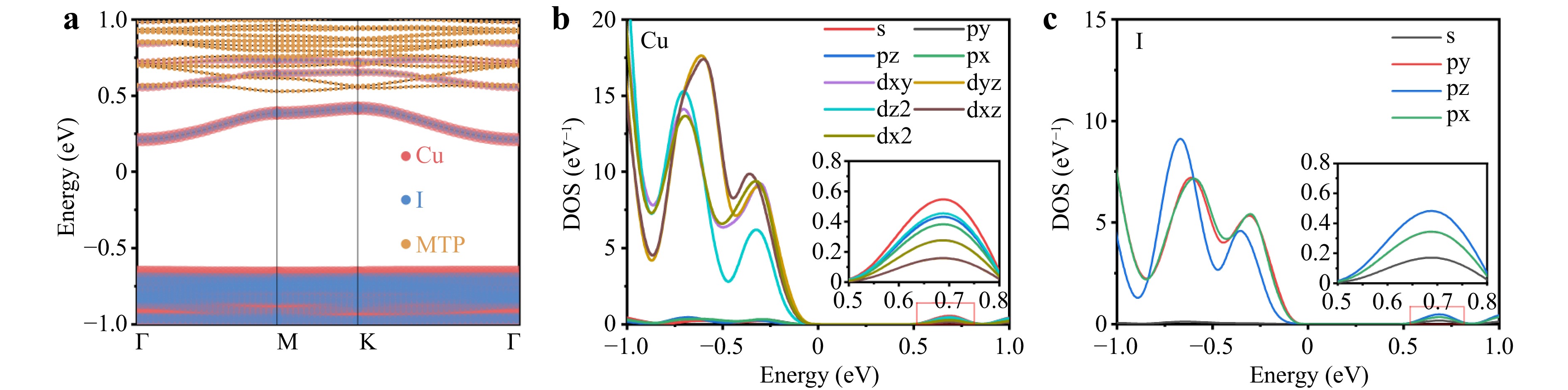
Large-area, high-resolution, flexible x-ray scintillator film based on a novel 0d hybrid cuprous halide
Dandan Li, Linghang Kong, Liping Feng, Jie Su, Xing Guo, et al.
Published. 2025, 6(4) : 640-650 doi: 10.37188/lam.2025.044
X-ray scintillation detectors play an irreplaceable role in medical imaging, security inspections, and nondestructive detection. Recently, all-inorganic lead-free metal halide scintillators have attracted attention for addressing the drawbacks of lead-halide perovskites, such as severe self-absorption and toxicity. Nevertheless, high-resolution, flexible, and cost-effective lead-free scintillators are desirable for X-ray imaging applications. In this study, we designed a zero-dimensional hybrid cuprous halide, (MTP)2Cu4I6 (MTP+ represents [C19H18P]+), and synthesized single crystals. (MTP)2Cu4I6 shows intense yellow emission (618 nm) and a large Stokes shift of 185 nm, almost eliminating the effect of self-absorption. As a result, (MTP)2Cu4I6 exhibited a near-unity photoluminescence quantum yield (99.9%) with a light yield of 43800 photons per megaelectron volt. Moreover, (MTP)2Cu4I6 demonstrates an impressive detection performance with a fast response time of 2.18 μs, a good linear response ranging from 0.038 μGyair s−1 to 53.4 μGyair s−1, and a low detection limit of 37.6 nGyair s−1. In a conceptual experiment, large-area flexible (MTP)2Cu4I6/polydimethylsiloxane (PDMS) scintillation films were fabricated to investigate their X-ray imaging performance. The (MTP)2Cu4I6/PDMS film exhibits a high-spatial resolution of 10.2 lp mm−1 when the modulation transfer function is 0.2 and superior flexible detection performance. The short lifetime, high-light yield, low toxicity, and low cost of (MTP)2Cu4I6 facilitate the development of next-generation X-ray scintillators.
Novel suppression strategy of mid-spatial-frequency errors in sub-aperture polishing: adaptive spacing-swing controllable spiral magnetorheological finishing (CSMRF) method
Bo Wang, Feng Shi, Ci Song, Ping Zhou, Xing Peng, et al.
Published. 2025, 6(4) : 651-669 doi: 10.37188/lam.2025.045
Computer-controlled sub-aperture polishing technology is crucial for achieving high-precision optical components. However, this convolution material removal method introduces a significant number of mid-spatial frequency (MSF) errors, which adversely impact the performance of optical systems. To address this issue, we propose a novel controllable spiral magnetorheological finishing (CSMRF) method that disrupts the mechanism of conventional constant tool influence function (TIF) convolution material removal. In this study, we leverage the advantages of a time-varying spacing strategy and theoretically analyse how time-varying spacing, combined with the spiral swing process of the TIF, mitigates MSF ripple errors. The time-varying spacing method highlights the importance of controlling the characteristic frequency, while the CSMRF method demonstrates a smoothing effect on the errors within the MSF band. Our findings confirm that time-varying spacing and spiral swinging have complementary effects in managing MSF errors. Furthermore, by constraining the MSF error and specific frequency error, we identify the optimal combination of adaptive spacing and spiral angle using a genetic algorithm. On this basis, the MSF error is evaluated by combining the characteristic dwell time solution algorithm. Using the inertial confinement fusion optical element as an example, we observe a 99.938% reduction in the amplitude of the PSD curve of the mid-frequency ripple error with a spatial period of 1 mm, while the mid-frequency PSD curve remains within the standard line. Therefore, the proposed method can effectively control the specific MSF error distribution. This variable convolution kernel (TIF) sub-aperture polishing method provides a new idea for full-band cooperative error control.
Reconfigurable holographic patterns for optical security multiplexing fabricated by 3D spatially modulated femtosecond pulses
Peng Yi, Zhipeng Wang, Lan Jiang, Xiaowei Li, Yang Liu, et al.
Published. 2025, 6(4) : 670-680 doi: 10.37188/lam.2025.046
Holographic patterns that integrate printings and holograms into a single device have received extensive attention in optical security owing to their attractive aesthetics and concealment. However, the sophisticated structures of metasurface-based optical devices require a time-consuming fabrication process, hindering the practical application of holographic patterns in optical security. In this study, a novel double-layer holographic pattern that employs simple microholes and microvoids as optical modulation units is designed and experimentally demonstrated. The two layers of the structure arrays are synchronously processed in a transparent material through a single serial-stitching of dynamic 3D spatially modulated femtosecond pulses that are proposed for the rapid fabrication of large-area multi-layered patterns. The fabricated holographic pattern appears as a dynamic grayscale image under white light incident at different angles and projects encoded holographic images under laser illumination. By transforming microholes into microcraters by ultrasonic treatment, the reconfiguration of the holographic pattern can be realized based on refractive index modulation using liquid immersion. The proposed reconfigurable holographic patterns with simple structures and visible sizes enable the recoding of multiple pieces of information, making them practical optical security elements with a wide range of applications in anti-counterfeiting and information encryption.
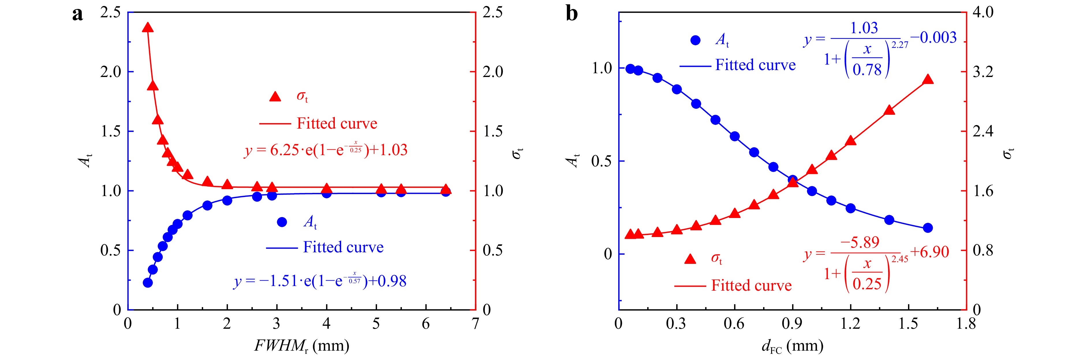
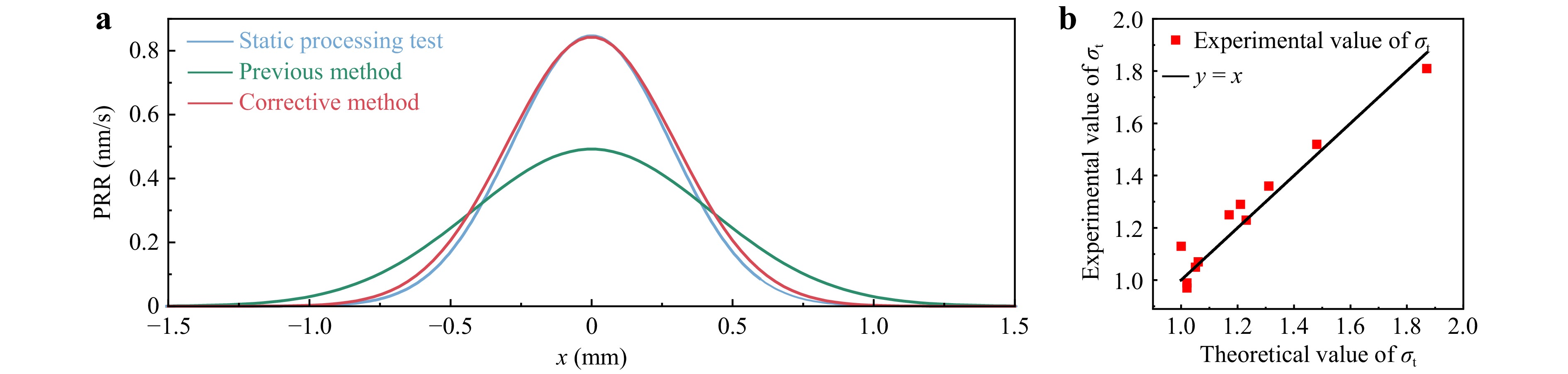
Investigating a corrective online measurement method for the tool influence function in millimetre spot-sized ion beam figuring
Haixiang Hu, Meng Bian, Wa Tang, Peng Ji, Xuejun Zhang
Published. 2025, 6(4) : 681-696 doi: 10.37188/lam.2025.050
In short-wavelength optics, millimetre spot-sized ion beam figuring (IBF) is an effective method to eliminate form errors with spatial wavelengths ranging from 10 mm to 1 mm. In this case, the full width at half maximum (FWHM) of the tool influence function (TIF) is typically below 2 mm. In IBF, accurate measurement of a small-sized TIF is critical in determining the removal rate and distribution. In existing research, the online measurement of the TIF has been achieved by scanning the beam current density (BCD) distribution with the Faraday cup (FC). However, due to the convolution effect during scanning, this method is not sufficiently accurate for small-sized TIFs, posing considerable limitations to high-precision applications. This paper presents an in-depth analysis of the convolution effect in TIF measurements. The obtained findings are applied to a corrective TIF measurement method and verified by calculation, simulation, and experiment. The results demonstrate that the proposed method can effectively reduce the measurement error. Specifically, for TIFs with FWHMs ranging from 0.5 to 1 mm, the average measurement error of the peak removal rate (PRR) is reduced from 47.4% to 3.1%, and the average error in the FWHM is reduced from 51.7% to 2.6%. The application of this method to a polishing experiment reduces the root-mean-square (RMS) of the aspherical optical mirror from 1.7 nm to 0.4 nm; moreover, the average convergence rate is 76.4%, which is within the target spatial wavelength range of 15 mm to 3.6 mm. Thus, this paper provides practical guidance for millimetre spot-sized IBF, and is promising for application in high-precision optics.
Ultra-long focal depth annular lithography for fabricating micro ring-shaped metasurface unit cells on highly curved substrates
Zhengang Lu, Bowen Luo, Jiubin Tan
Published. 2025, 6(4) : 697-709 doi: 10.37188/lam.2025.056
In recent years, metasurfaces on planar substrates have been extensively investigated and methods for their fabrication have been implemented. However, fabricating metasurfaces on highly curved surfaces remains challenging because of the difficulty in achieving precise mechanical positioning on curved geometries using current lithographic techniques. This limits applications that require finer and more accurate structures. This paper introduces a novel lithographic approach for patterning structures on curved surfaces. By leveraging the natural aberration of a convex lens to focus the beams, this approach enables the creation of adjustable ring and split-ring configurations. Ring-shaped patterns with an average structural width of 1.79 µm were exposed, exceeding the resolution of previously reported annular lithography techniques by a factor of 10. Moreover, this approach offers a defocus tolerance that is 10 times greater than that of conventional direct laser writing lithography, thus reducing the influence of positional errors caused by substrate geometry. Consequently, patterns on a photoresist-coated dome were successfully exposed, marking a pioneering achievement. This study paves the way for creating ring-shaped metasurfaces and other structures on highly curved surfaces.
Linear volumetric additive manufacturing of polymer structures via light initiated direct growth
Yizhen Zhu, Shah Md Ashiquzzaman Nipu, Shengyinghao Chen, Xiangjia Li
Published. 2025, 6(4) : 710-723 doi: 10.37188/lam.2025.063
Additive manufacturing (AM) encompasses a variety of techniques for creating three-dimensional (3D) structures with intricate geometries, including droplet-based and layer-based methods. Among these, vat photopolymerization (VPP), a layer-based AM technology, stands out for its ability to achieve high resolution and relatively low cost. However, traditional VPP techniques face inherent challenges such as the stair-step effect and limited fabrication speed, which constrain their application for seamless, high-throughput manufacturing. To address these limitations, continuous and volumetric photopolymerization approaches have emerged, offering enhanced precision and faster production capabilities. This study introduces a novel linear volumetric printing technique, Light-Initiated Direct Growth (LIDG), which precisely controls light energy distribution in 3D space within a liquid resin. Unlike other methods, LIDG enables curing light to penetrate pre-printed regions, achieving continuous polymerization along the Z-direction. By leveraging controlled light projection, optical energy is manipulated to initiate photopolymerization at targeted voxels, facilitating the rapid and uninterrupted construction of 3D polymer structures. A detailed optical energy distribution model is developed for LIDG, accounting for light absorption and attenuation characteristics within photopolymer resins. Additionally, the effect of resin viscosity on printing quality is systematically analyzed. Demonstrations of LIDG’s capability to fabricate large macro-scale structures with fine micro-scale features underscore its potential for advancing applications, including biomedical devices, optical systems, and soft robotics.
High-precision laser slicing of silicon carbide using temporally shaped ultrafast pulses
Yihao Yan, Lan Jiang, Zhi Wang, Weiyu Zhu, Xiaolin Qi, et al.
Published. 2025, 6(4) : 724-733 doi: 10.37188/lam.2025.065
The advent of laser-assisted methods for material slicing attracts a particular attention for technologically important materials as silicon carbide (SiC). Using femtosecond lasers, one can locally initiate multiphoton ionization inside SiC, leading to internal material modifications for slicing SiC ingots into individual wafers. However, intense focused light inside SiC suffers from strong nonlinear effects, such as plasma shielding and self-focusing, which limit energy localization and affect the quality of internal modifications. In this research, we employ temporally-shaped ultrafast trains of pulses for semi-insulating SiC crystal modification. These are generated through an engineered stack of birefringent crystals and permitted successfully slicing a SiC wafer. By adjusting laser parameters, we demonstrate improved energy deposition near the laser focal point and find an optimal combination of laser energy (total energy of pulse train: 10μJ) and number of sub-pulses (8 sub-pulses) to achieve thin single-layer modifications and cracks (thickness: 16.5μm). The suppression of pre-focal plasma shielding and improved control for energy deposition inside crystals are confirmed by side-view luminescence microscopy. Ultimately, the benefits from the technique allow a reduction of the modification layer down to 16.5μm, corresponding to an important advancement for low material-loss SiC wafer slicing.
Hyperpixels: pixel filter arrays of multivariate optical elements for optimized spectral imaging
Calum Williams, Richard Cousins, Christopher J. Mellor, Sarah E. Bohndiek, George S. D. Gordon
Published. 2025, 6(4) : 734-751 doi: 10.37188/lam.2025.067
Spectral imaging systems are critical for revealing new information about the structure and composition of diverse samples, but traditional approaches that use generic ‘bandpass’ spectral filters are sub-optimal in challenging scenarios with low data signal-to-noise ratio (SNR). To address this, we introduce the concept of hyperpixels: a novel, compact, application-specific spectral filter array approach compatible with integration atop CMOS image sensors. Each element of a hyperpixel filter array is engineered to selectively transmit specific spectral components optimized for the target application, analogous to arrays of multivariate optical elements designed for analyte sensing. Hyperpixels achieve spectral tailoring through precise height engineering of multiple sub-pixel Fabry-Perot resonators covering each pixel area. Building on our earlier work exploring the feasibility of this approach1, we present the first experimental validation of this concept. First, we develop a design framework based on matched filter theory and demonstrate its effectiveness by creating a set of 4 hyperpixels optimized to discriminate among 4 distinct spectral reflectance targets. Fabricated 2 × 2 arrays of hyperpixels are compared to optimal bandpass filter arrays through both spectral and imaging characterization. Our results demonstrate that hyperpixels outperform optimal bandpass filters in separating spectral components, achieving a 2.4× improvement in unmixing matrix condition number (p = 0.031) based on measured spectra, and a 3.47× reduction (p = 0.020) in condition number during imaging experiments. Importantly, simulations confirm that this advantage is robust even in the presence of significant fabrication errors. These findings demonstrate the superior spectral discrimination capability of hyperpixels over traditional approaches. With straightforward customization, scalable fabrication, and compatibility with CMOS sensors, hyperpixels offer a highly versatile solution for real-time imaging. Potential use cases include micro-endoscopy, capsule endoscopy, industrial inspection, and machine vision, where compact form factors and ability to handle low raw SNR are critical. Future improvements in design and fabrication will further enhance performance, enabling new possibilities for application-specific spectral imaging.
Three-degree-of-freedom measurement using a single probe beam
Liheng Shi, Jinxu Zhang, Jiayang Chen, Runkun Zhao, Yuxuan Ma, et al.
Published. 2025, 6(4) : 752-760 doi: 10.37188/lam.2025.068
Determination of position and orientation is essential in advanced manufacturing, automation, and material physics analysis. Traditional high-precision multiple degree-of-freedom (DOF) measurement techniques often rely on multiple probe beams to measure cooperative targets, introducing system complexity and potential measurement errors. Here, we present a novel method for three-degree-of-freedom measurement that employs low-coherence spatial interferometry (LCSI) with a single probe beam. Unlike conventional approaches, this method eliminates the need for cooperative targets and extends applicability to both smooth and rough surfaces. By leveraging the geometric characteristics of the coherence envelope and pulse alignment in a mode-locked femtosecond laser, our system acquires low-coherence interferograms at flexible axial positions, overcoming the constraint of equal-arm interference. Demonstrated at a real-time speed of 100 Hz, the method achieves arcsecond-level angular precision and sub-micrometer distance precision. Furthermore, it enables simultaneous measurement of multiple targets within the field of view, offering transformative potential for applications such as ensuring pose consistency in precision assembly and monitoring deformation during environmental testing. This work presents a novel single-probe-beam measurement approach, providing a compact and versatile solution for multi-DOF dynamic measurement.
Optical percutaneous needle biopsy in oncology
Elena V. Potapova, Viktor V. Dremin, Valery V. Shupletsov, Ksenia Y. Kandurova, Andrey V. Dunaev
Published. 2025, 6(4) : 761-776 doi: 10.37188/lam.2025.072
New technologies that combine standard procedures for tissue sample extraction and analysis with optical spectroscopy and imaging represent a new step in the development of tumour tissue diagnostics. Optical percutaneous needle biopsy is a promising method for increasing the diagnostic efficiency of the procedure by selecting the area for sample extraction and obtaining information about vascular changes and the metabolism of biological tissues at the needle tip. This study provides a comprehensive analysis of existing technical solutions to address various diagnostic tasks: studying the metabolic status of tissues for the adjustment of treatment protocols, differentiating healthy and tumour tissues for navigating puncture needles, and obtaining preliminary diagnoses of the nature of neoplasms. Technical systems for assessing the perfusion and metabolic characteristics of biological tissues using fine-needle probes have been described. Fine-needle probe designs for biopsies of various organs are also presented. The results of using optical percutaneous needle biopsy in liver and breast cancers are demonstrated.
Bimodal tissue differentiation using hyperspectral imaging and elastographic Fourier transform profilometry
Andrea Rüdinger, Ömer Atmaca, Veronika Bahlinger, Elena Weisser, Sabine Matovina, et al.
Published. 2025, 6(4) : 777-790 doi: 10.37188/lam.2025.073
Multispectral imaging is a common method to enhance tissue differentiation based on different cell or tissue structures. These differences arise from the unique structural properties of each tissue type, which result in characteristic differences in spectral absorption. In the context of distinguishing between healthy and malignant tissues, differences are observed not only in spectral absorption but also in their elastic properties. To improve the reliability of measurement devices, we present a novel bimodal measurement system that includes a hyperspectral and an elastographic Fourier transform profilometry system to combine the individual results and to improve the overall task of tissue differentiation. The results of both subsystems show good ability to differentiate between healthy and malignant tissue. However, some limitations were identified for each individual sensor concept, such as contamination with pathological dye in hyperspectral imaging and insufficient sample thickness in elastographic measurements. Nevertheless, the multimodal combination of the individual sensor systems ensures good tissue differentiation. While the elastographic sensor can differentiate tissue even when contaminated with pathological staining agents, hyperspectral imaging can be used on very thin tissue samples and also enables the detection of tumor boundaries.
Backside illumination-enabled metrology and inspection inside 3D-ICs using frequency comb-based chromatic confocal and spectral interferometry
Hyoungsu Choi, Hyunsoo Kwak, Sungyoon Ryu, Younghoon Sohn, Jungwon Kim
Published. 2025, 6(4) : 791-804 doi: 10.37188/lam.2025.074
Optical non-destructive inspection technologies are becoming increasingly crucial in semiconductor manufacturing to meet the growing demand for miniaturized, high-density, and integrated semiconductor devices. Conventional inspection techniques typically analyse semiconductor devices from the front side, but this approach poses challenges for highly integrated devices with micro and high-aspect-ratio structures due to scattering issues and low signal-to-noise ratios. Furthermore, it becomes impossible to measure the depth of Cu-filled through-silicon vias (TSVs) due to the low penetration depth of light in metals. Here, by combining chromatic confocal microscopy and spectral interferometry with an IR optical frequency comb centred at 1560 nm, which can penetrate silicon, we demonstrate a new backside silicon inspection technique. The demonstrated method is capable of simultaneously measuring thickness and refractive index with a high spatial resolution of ~14 μm and a repeatability of 72.3 nm for the 534.2 μm silicon wafer. We also conducted the first successful depth measurements of Cu-filled TSVs in commercial memory products using IR spectral interferometry with a high-numerical aperture (NA) lens, for both individual Cu-filled TSVs and TSV arrays under different NA conditions.
Direct laser writing lithography of photo-insensitive durable GST thin films with near 100% yield
Roseanna G. Lawandi, Dylan J. Morden, Shiqi Luo, Shivashankar Vangala, Andrew M. Sarangan, et al.
Published. 2025, 6(4) : 805-812 doi: 10.37188/lam.2025.075
Modern technologies have been heavily reliant on semiconductor chips driving their innovation. These nanoscale-featured devices have created the need for precise lithographic tools that enable the microscopic patterning of such features. With a large drive to keep the cost of lithography tools low while maintaining high resolution, recent works have explored alternate solutions to existing commercial tools. Therefore, this study investigates a low-cost photothermal lithography technique that utilizes a phase-change material to allow for high-resolution 200 nm features to be patterned. The technique we present in this work does not only provide a sidewall roughness of < 10 nm but also uses light-insensitive materials, allowing for delicate features to be patterned under non-restrictive environments. We present the theoretical limits of our laser writing system and demonstrate the experimentally achieved features, describing in detail how we overcome some of the diffraction and thermal limits in order to achieve ultimate resolution and sidewall roughness. This was achieved with near 100% yield as every patterned feature survived all stages of the sample processing with minimal defects.
Air-coupled ultrasound based noncontact reverberant optical coherence elastography
Christian Zevallos-Delgado, Taye T. Mekonnen, Alexander W. Schill, Manmohan Singh, Salavat R. Aglyamov, et al.
Published. 2025, 6(4) : 813-820 doi: 10.37188/lam.2025.076
Reverberant optical coherence elastography (Rev-OCE) has been used to map the mechanical properties of tissues with high quality and resolution regardless of tissue boundaries and stiffness. Generally, Rev-OCE utilizes the interference of multiple arbitrary mechanical waves generated by distinct sources in direct contact with the sample. In this study, a novel methodology was designed and implemented to create a completely noncontact method utilizing multiple air-coupled ultrasound (ACUS) transducers capable of generating a reverberant field within the sample. An array of unfocused ACUS transducers with a resonant frequency of 40 kHz was characterized and placed in a 3D-printed ring to produce a reverberant field in a side-by-side gelatin phantom (4% and 8% w/w gelatin concentration). The results showed the generation of a reverberant field within the sample with a transverse resolution of 208.8 ± 72.4 μm. Also, this method was tested in porcine cornea showing the stiffness differences found in the corneal layers, where the wave speed is substantially higher in the epithelium (3.7 m/s) and anterior stroma regions compared with the posterior and endothelium regions (2.2 m/s). The generation of a reverberant field using ACUS Rev-OCE guarantees the integrity of sensitive samples, and it shows its potential to be used in-vivo without causing any damage or discomfort in live subjects.
Monofiber-based temperature and strain discrimination using heterogeneous waveguide Bragg gratings
Junxian Luo, Hanwen Liu, Haotian Ding, Zhengda Zhang, Zhuo Chen, et al.
Published. 2025, 6(4) : 821-830 doi: 10.37188/lam.2025.077
The identical responses of fiber Bragg grating (FBG) sensors to temperature and strain limit their practical applications. To address this challenge, we propose and demonstrate a monofiber sensor capable of discriminating between temperature and strain by leveraging the distinct thermo-optic properties of two heterogeneous waveguides. Specifically, a pair of waveguide Bragg gratings was inscribed in different sections of a panda polarisation-maintaining fiber (PMF) using spherical-aberration-assisted femtosecond (fs) laser fabrication. When subjected to temperature changes, the two Bragg resonance peaks exhibited distinct responses, whereas their strain responses remained consistent. Consequently, the monofiber sensor achieves discrimination without requiring additional isolated compensation. The proposed sensor demonstrates an order-of-magnitude improvement in strain measurement accuracy compared to conventional isolated temperature-compensation methods under dynamic temperature changes.
Towards high-speed on-machine measurement of freeform surfaces: a dynamic error calibration method
Maomao Wang, Wenbin Zhong, Wenhan Zeng, Feng Gao, Yang Yu, et al.
Published. 2025, 6(4) : 831-842 doi: 10.37188/lam.2025.078
Metrology challenges have increasingly been the bottleneck in the manufacturing of freeform optics. On-machine metrology has emerged as a potential solution to bridge the gap between measurement and machining processes. It is widely recognised that metrology systems integrated with manufacturing platforms are affected by the dynamic characteristics of the host platform. However, there is a limited understanding of how these dynamic disturbances contribute to measurement error, primarily due to a lack of comprehensive system-level analysis. This paper aims to depict the relationship between mechanical vibration and measurement error in an on-machine surface measurement (OMSM) system and proposes a method to mitigate this error through system calibration. A dynamic error model of the OMSM system is developed, incorporating feed disturbances, machine dynamics, and the compliance of the measurement units. Our analysis identifies phase lag in the measurement unit as a primary contributor to the distortion of the measured surface figure. To address this issue, a calibration procedure is performed based on system transfer function identification. The proposed calibration method effectively reduces the residual error in high-speed measurements. Experimental results demonstrate a reduction of the peak-to-valley (PV) error from 6 µm to 0.5 µm, and a decrease in the root mean square (RMS) error from 2.3 µm to 20 nm. Using this system, a high-density point cloud of 290,000 points was measured in 6 minutes, successfully meeting the challenges of measuring freeform surfaces on the manufacturing platform with both high accuracy and high efficiency. The proposed calibration method, which compensates for the absence of an independent metrology frame, can be adapted for other similar on-machine systems. This approach offers a cost-effective and time-efficient solution for the rapid prototyping of freeform optical components using integrated surface metrology.
QPI- and FLIM-assisted multimodal analysis of the dynamics of morphological and physiological parameters of cells
Anna A. Zhikhoreva, Andrey V. Belashov, Anna V. Salova, Ilya K. Litvinov, Tatyana N. Belyaeva, et al.
Published. 2025, 6(4) : 843-855 doi: 10.37188/lam.2025.079
This paper presents a multimodal approach that combines time-resolved fluorescence microscopy and spatial light interference microscopy into a single complex allowing for a concurrent comprehensive analysis of cell samples in vitro. The combined application of quantitative phase imaging using partially coherent radiation with time-resolved fluorescence imaging of endogenic coenzymes NADH and FAD, as well as Radachlorin photosensitizer, allowed for evaluation of a set of morphological and physiological parameters of cells of the two lines, HeLa and A549, in the course of photodynamic treatment. Besides comparison of cells of the two lines in terms of volume, height, dry mass, projected area, and redox ratio, we analysed the mechanisms and rate of Radachlorin accumulation. Using the developed multimodal approach, we demonstrated that in both the cell lines, Radachlorin was taken up in complexes with serum albumin, transported by endocytosis, and accumulated primarily in lysosomes. The Radachlorin transportation through the cellular membrane to lysosomes was accompanied by a decrease in its fluorescence lifetime, which was apparently owing to a gradual increase in endosome acidity. The different contributions of the fast and slow components of time-resolved fluorescence signals of nicotinamide adenine dinucleotide (NADH) and flavin adenine dinucleotide (FAD) enabled us to demonstrate the difference in the redox ratios of cells of the two lines. The average concentration of the accumulated Radachlorin photosensitizer in cells of the two lines and their resistivity to photodynamic treatment also differed: HeLa cells tended to accumulate more Radachlorin and demonstrated lower resistivity to photodynamic treatment.
Heterostructured perovskite nanocrystals for water stable plasmon-enhanced photoelectrocatalysis
Yuan Yuan, Anastasiia P. Dmitrieva, Stepan Pozdniakov, Lev E. Zelenkov, Pavel Krasnov, et al.
Published. 2025, 6(4) : 856-869 doi: 10.37188/lam.2025.080
Perovskite photoelectrocatalysis enables solar-driven conversion of CO2 to value-added chemicals, but instability in water and insufficient C–C coupling still constrain performance. Herein, we present a synergistic approach for aqueous-phase CO2 conversion that combines perovskite-based photoelectrocatalysis with localized surface plasmon resonance (LSPR) enhancement. To address the inherent instability of lead-halide perovskites, we developed a modified hot-injection route that enables the in situ formation of water-stable CsPbBr3@TiO2 core–shell nanoparticles. Titanium butoxide and water were introduced after Cs-oleate injection, enabling controlled TiO2 shell growth without post-treatment. Electron microscopy, XRD, and XPS confirm the core–shell architecture, while optical/electrical probes indicate efficient charge separation across the CsPbBr3/TiO2 junction. Subsequently, we investigated electrocatalytic, photocatalytic, and photoelectrochemical carbon dioxide reduction (CO2RR) on CsPbBr3@TiO2/Au and CsPbBr3@TiO2. Gas chromatography revealed tunable product selectivity, yielding H2, CO, CH4, and multicarbon (C2, C3) products including C2H4 (ethylene) and C3H6 (propene). Our main findings indicate that the CsPbBr3@TiO2/Au exhibits high selectivity toward C3 (propene) in photocatalysis and C2 (ethylene) in photoelectrochemistry, reaching up to 70% and 58%, respectively. These results highlight perovskite heterostructures as a viable platform for efficient CO2 utilization and the sustainable production of value-added C2/C3 chemicals.
Review
Research progress and prospects of laser coating technology
Jingjing Xia, Jinlong Zhang, Hongfei Jiao, Xinshang Niu, Xiaochuan Ji, et al.
Published. 2025, 6(4) : 870-895 doi: 10.37188/lam.2025.055
High-power laser coatings play a critical role in enabling optical manipulation in various laser applications, including beam alignment and control in high-power laser systems. These coatings rely on multilayers and microstructures, such as antireflective (AR) and highly reflective (HR) coatings, filters, and beam splitters, to enhance their performance. This review focuses on laser coatings used for manipulating optical fields, their principal limitations, and laser-induced damage in high-power applications. The concepts, principles, and progress made in exploring the optical performance and distinctive functions of the optical coatings and optimising the laser resistance through structural optimisation, material engineering, and defect elimination are highlighted. Finally, future directions for improving the design flexibility, fabrication feasibility, advanced detection techniques for high-resolution defect characterisation, and further consideration of minimising the optical loss are discussed to meet the evolving demands of modern high-power laser systems.
Letter to the Editor
Lensless single-shot multicore fiber endomicroscopy using a single multispectral hologram
Jakob Dremel, Elias Scharf, Sven Richter, Jürgen Czarske, Robert Kuschmierz
Published. 2025, 6(4) : 896-903 doi: 10.37188/lam.2025.027
Endoscopes are indispensable for minimally invasive optical applications in medicine and production engineering. The smallest lensless endoscopes often use digital optics to compensate the intrinsic distortions of light propagation of multimode or multicore fibers. However, due to the wavelength dependency of the distortion, the approach is restricted to a narrow spectral range, which prevents multispectral imaging modalities. We employ a spatial light modulator with a high stroke above 2\begin{document}$ \pi $\end{document}, to generate a hologram which minimizes overall phase distortion for multiple spectral bands. This enables lensless multicore fiber single-shot RGB endoscopy, for the first time in the world. Many applications in advanced manufacturing and biomedicine such as in vivo tissue classification are enabled.